NBN: Demand Forecasts and Liberal Policies
The NBN started as an estimated $5B Rudd/Conroy project tender to deploy Fibre-to-the-Node, to which the owner of the copper network to the Nodes, Telstra, declined to respond beyond a single page.
The next iteration was the $43B Rudd/Conroy Fibre-to-the-Home (FttH) scheme as a tertiary-level Stimulus Package, addressing longer-term impacts of the GFC. It hadn't been ALP policy before then.
After Kevin '07 became Toast '10, Gillard/Conroy had the opportunity to walk away from the NBN, but the ALP became wedded to the NBN in the 2010 election.
In the spirit of the knife-edge Parliament, the Abbott/Turnbull Opposition stance on the NBN is "not what they said", with Turnbull initially charged by Abbott with "destroy the NBN" and now having morphed that into "we'll do it cheaper, with less waste".
The NBN is the most notable current place where Politics meets Engineering.
The tension in this project is between the lead-time for large infrastructure projects and the build-up of consumer demand at the offered price-point. It takes 5-10 years to deploy new technologies versus a 2-3 year doubling period for Internet demand.
NBN Co now seems to have a 3-year plan to roll-out services, starting this year and perhaps finished by 2015/16. Mike Quigley was appointed in mid-2009, suggesting 3 years to build-up the organisation, design and plan the network and arrange contracts, and another 3 years to roll-out a large fraction of services, with full deployment taking until 2020.
Six years from nothing to mostly done, with another 3-4 years to finish off, seems quite an achievement to me. But the only predictable thing with big projects is that there will be unpredictable delays and problems... So they are running behind plan and discovering problems in basic data they rely on. [ZDNet 25-May-2012]
The ZDNet article reports that sign-up rates of the ~3,500 current users is significantly different to their projections of early 2012.
Projections for download {12 : 25 : 50 : 100 Mbps} [upload {1 : 5 : 20: 40 Mbps}] were:
Akamai has a very good global measure of demand for Internet services, now over 4 years old, their Quarterly "State of the Internet" report. At the end of this are included screen-shots of the spreadsheets and graphs based on their data.
Evidence of Late Majority moving away from "old technology":
Summary:
There is hard, credible data that suggests the doubling period for customer Internet bandwidth demand is still in the 2-4 year range, most probably doubling 2-2.5 years.
Models that do not incorporate this "constant percentage" (exponential) growth will seriously underestimate demand.
Update [28-May-2012]: Dr Neil Gunther has analysed the Akamai data as a Time Series, albeit a small one, and initial results are that it is approximately exponential growth, but the simple scatterplot trendline underestimates the forecast. The 2014 (2 year) projections, expressed as logarithm (kbps) are around 3.9 ± 0.3 [95% CI] and ± 0.2 [80% CI].
Converting to Mbps, 2014 forecasts: 8.192Mbps,
95%-CI: 4.46 - 15.85 Mbps, 80%-CI: 5.13 - 13.18 Mbps
The anomalous Q4/2011 datapoint still creates questions.
All years
Pre GFC
GFC (2009)
Post-GFC
Comparative Charts, pre/post GFC.
The next iteration was the $43B Rudd/Conroy Fibre-to-the-Home (FttH) scheme as a tertiary-level Stimulus Package, addressing longer-term impacts of the GFC. It hadn't been ALP policy before then.
After Kevin '07 became Toast '10, Gillard/Conroy had the opportunity to walk away from the NBN, but the ALP became wedded to the NBN in the 2010 election.
In the spirit of the knife-edge Parliament, the Abbott/Turnbull Opposition stance on the NBN is "not what they said", with Turnbull initially charged by Abbott with "destroy the NBN" and now having morphed that into "we'll do it cheaper, with less waste".
The NBN is the most notable current place where Politics meets Engineering.
The tension in this project is between the lead-time for large infrastructure projects and the build-up of consumer demand at the offered price-point. It takes 5-10 years to deploy new technologies versus a 2-3 year doubling period for Internet demand.
NBN Co now seems to have a 3-year plan to roll-out services, starting this year and perhaps finished by 2015/16. Mike Quigley was appointed in mid-2009, suggesting 3 years to build-up the organisation, design and plan the network and arrange contracts, and another 3 years to roll-out a large fraction of services, with full deployment taking until 2020.
Six years from nothing to mostly done, with another 3-4 years to finish off, seems quite an achievement to me. But the only predictable thing with big projects is that there will be unpredictable delays and problems... So they are running behind plan and discovering problems in basic data they rely on. [ZDNet 25-May-2012]
The ZDNet article reports that sign-up rates of the ~3,500 current users is significantly different to their projections of early 2012.
Projections for download {12 : 25 : 50 : 100 Mbps} [upload {1 : 5 : 20: 40 Mbps}] were:
- estimate { 52% : 17% : 23% : 8%} and
- actual {18% : 35% : 10% : 37% }
- there is significant pent-up demand by "early adopters" for higher speeds, and
- the NBN Co internal models are, at first blush, significantly at variance with customer sign-up.
What we can't know yet, and is commercially critical to NBN Co and ISP's, is:
- Are these first customers representative of the rest of the market? and
- Will they renew at these rates, or fall-back to cheaper plans?
Let's assume the data is a reasonable representative sample...
Mr Turnbull already has a problem with his Fibre-to-the-Node (FttN) deployment:
around 80% of these people have opted for speeds faster than the ADSL 2+ (24Mbps) best possible speed (300-500m). Attempting to build a faster network is both more expensive and with our old, degraded copper network, "problematic". It won't deliver anything like the capacity "on paper".
Lets say that given the choice and a competitive price, half those 35% will go for a slower ADSL 2+ service, at best 40% of customers will be happy with FttN. 60% of customers, if they follow the initial sample, will be looking for a guaranteed 25Mbps download and higher.
If Abbott/Turnbull form government at the end of 2013 and direct NBN Co to scale-back its FttH roll-out and create plans to deploy an FttN and leverage the existing HFC cable networks, perhaps they could start work within 9 months [Jul-2014] and aim for a 2-year roll-out, the end of 2016.
Being generous, lets say it costs less than the Rudd/Conroy plan: $4B.
Now, in mid-2012, consumer demand for bandwidth is doubling every 2-3 years [data for this later].
In 4 years, bandwidth demand will be 3-4 times the current average ~4.5Mbps, or 12-20Mbps average.
If we already have 60% of the market paying for >20Mbps when they can get it, then at the end of 2016, that number will be significantly higher, perhaps 85% [guesstimate].
NBN Co will experience strong consumer pressure for fast Fibre, not Copper.
The $4B for an FttN network will be at best a stop-gap.
If it cannot pay for itself within 6 years (2 yr roll-out, 2yr use, 2yr replacement) then it isn't cost-effective. My rough guess is an IRR of 15-20% to achieve this.
Abbot/Turnbull will have to go to the 2017 election with major electoral concerns:
- Why can't most people get decent internet speeds? and
- Explaining why $4B was wasted on an FttN network, outdated before commissioned.
What seems missing in most traditional models of Internet demand, including it seems, Turnbull and the Liberal Party, is:
- Taking into account Rogers "Diffusion of Innovation" theory, and
- modelling demand as a constant percentage growth: exponential, not linear.
Rogers theorised 4 important groups commercially, accounting for 86% of the market (the remainder are "laggards" or "Never Adopt"):
- Innovators (2.5%)
- Early Adopters (13.5%)
- Early Majority (34%)
- Late Majority (34%)
Commercially, it's very difficult to spot Innovators. They are a small group and will put up with a lot to get high-status or high-performance goods and services.
The successive waves of Early Adopters and the Early/Late Majority are trackable and should be able to be modelled.
When a new technology has a 5% take-up rate, it is on the way to becoming a Big Hit.
Apple have this forecasting down to a fine art after the iPod, Macbook, iPhone and iPad.
After 5%, the only question is predicting the final market size, because the rate-of-doubling is well established.
Modelling things as a "constant percentage growth" is commonplace in finance and business.
Why does it work?
Because of "network effects" - the same driver behind "Diffusion of Innovation".
People get interested in new products/technologies when they've experienced it first-hand and have a 1st-order friend/acquaintance using it that can give them help and guidance. In business, the "Help Desk" does part of this.
People generally associate with like-minded people, their peers.
Innovators will search out other Innovators, Early Adopters will hang-out with their peers mostly and together they introduce the new "stuff" that Really Works to the Majority.
These are people that might use and appreciate new things, but whose time and focus is taken up with other Life Priorities, like families, jobs or their careers and businesses, be it Private Industry, Art, Performing or the Public Service.
There are very solid reasons that "network effects", also known as "word of mouth", see constant percentage growth, and many examples of it in the 15 year history of the Public/General Internet.
Where's the data to support this continuing fast doubling-time of demand for internet bandwidth?
Didn't all that end in 2001, when the Internet Bubble burst?
Akamai has a very good global measure of demand for Internet services, now over 4 years old, their Quarterly "State of the Internet" report. At the end of this are included screen-shots of the spreadsheets and graphs based on their data.
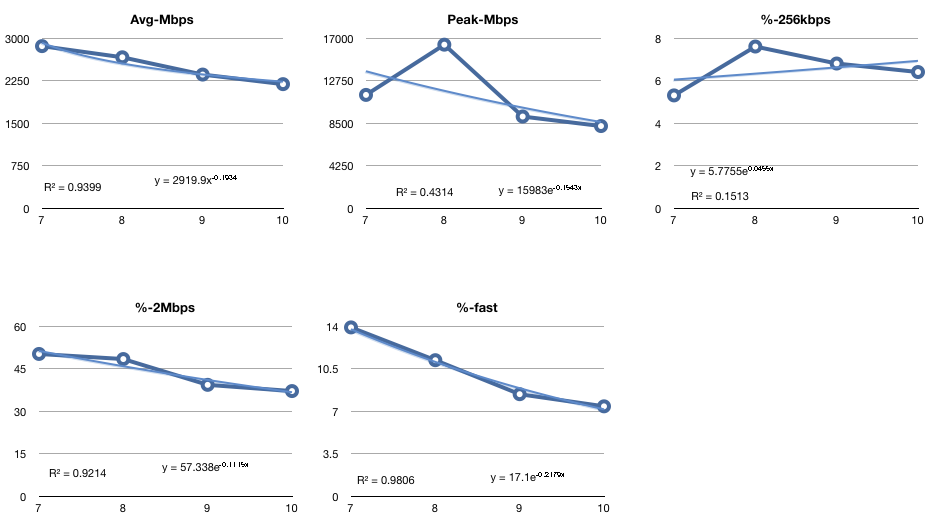
Evidence of Late Majority moving away from "old technology":
- Examine the "%-256kbps" charts.
- Even with the GFC, in 4.5 years, this has gone from 11% of total traffic, to 1.6%: ~7-fold decline, or 2.8 doublings: a halving-time of 1.6 years, even with a GFC-driven increase.
- This isn't a count of the number of narrowband connections, just a (relative) percentage of total connections.
- The total market is growing and the numbers of narrowband customers declining.
- Every Late Majority/Laggard consumer that upgrades from narrowband, substitutes it with a higher-speed plan. This gives us a pointer to rate-of-change.
Evidence of Early/Late Majority increasing bandwidth demand:
- Examine "Avg-Mbps" and "Peak-Mbps", for Post-GFC period
- "Avg-Mbps" is "average connection speed", or the mean of speed (MB/second) for all connections. It includes the limits imposed by the ISP networks and interconnects.
- "Peak-Mbps" is a better indication of the link-speed of clients. It is the average, across all observed IPv4 addresses, of the peak speed seen for that address.
- For Q4 of 2011, there is a 37% increase in the average connection speed and 25% in Peak. This could be an artefact of the sampling, or due to structural changes due to better "backhaul" networks or consolidation of ISP's.
- There are two sets of charts prepared with and without this datapoint, post-GFC:
- the doubling-period for the 7 Quarters is 3.81 yrs and 2.39 yrs (Avg, Peak)
- the doubling-period for the 8 Quarters is 2.19 yrs and 1.7 yrs (Avg, Peak)
There is hard, credible data that suggests the doubling period for customer Internet bandwidth demand is still in the 2-4 year range, most probably doubling 2-2.5 years.
Models that do not incorporate this "constant percentage" (exponential) growth will seriously underestimate demand.
Update [28-May-2012]: Dr Neil Gunther has analysed the Akamai data as a Time Series, albeit a small one, and initial results are that it is approximately exponential growth, but the simple scatterplot trendline underestimates the forecast. The 2014 (2 year) projections, expressed as logarithm (kbps) are around 3.9 ± 0.3 [95% CI] and ± 0.2 [80% CI].
Converting to Mbps, 2014 forecasts: 8.192Mbps,
95%-CI: 4.46 - 15.85 Mbps, 80%-CI: 5.13 - 13.18 Mbps
The anomalous Q4/2011 datapoint still creates questions.
All years
Pre GFC
GFC (2009)
Post-GFC
Comparative Charts, pre/post GFC.





Comments
Post a Comment